Data Science/AI 44

인공지능 주제 탐색 #1 | Computer Vision 분야 알아보기

컴퓨터 비전(Computer Vision)은 컴퓨터공학의 한 분야로, 쉽게 말하면 컴퓨터가 시각적 데이터를 보고 이해하고 분석할 수 있도록 하는 분야다. 컴퓨터 비전을 통해 컴퓨터로 이미지 분류(Image classification), 얼굴 인식(Facial recognition), 객체 탐지(Object detection) 등을 수행할 수 있다. 컴퓨터 비전(Computer Vision)의 분야는 크게 이미지를 대상으로 하는 content recognition 과제와 영상을 대상으로 하는 Video analysis 과제로 나눌 수 있다. 그럼 각 분야의 과제를 하나씩 살펴보자. Content recognition 1) 이미지 분류(Image Classification) 이미지 분류(Image Class..

Data Science/AI 2023.03.26

인공지능 #Fin | 인공지능 기초 용어 정리

한 2주 정도 동안 이라는 책을 공부했다. 이 책은 인공지능 분야에 어떤 개념이 '존재'하는지 훑어보기 좋다. 난이도를 낮추기 위해 수식이나 이론, 심층적인 코드가 많이 빠져서 깊이 있게 공부하기는 어려웠다. 다음 단계로 넘어가기 전에 에 나온 개념어를 정리하려고 본 포스팅을 적기 시작했다. 1장. 인공지능이란? 강인공지능 Strong AI: AGI Artificial General Intelligence가 여기에 속함 약인공지능 Weak AI: 보조하는 AI 머신러닝 meachine learning: 데이터에서 규칙을 학습하는 알고리즘을 연구하는 분야 딥러닝 deep learning: 인공 신경망 ANN을 기반으로 한 머신러닝 분야 2장. 데이터 다루기 지도 학습 Supervised learning 비..

Data Science/AI 2023.03.14

인공지능 #9 | 텍스트를 위한 인공 신경망(NLP, IMDB, LSTM, GRU)

9. NLP - 텍스트를 위한 인공 신경망¶ 9-1. 순차 데이터와 순환 신경망¶ 순차 데이터 sequential data: 텍스트, 시계열 데이터처럼 순서에 의미가 있는 데이터 순차 데이터를 다루기 위해서는 이전에 입력한 데이터를 기억하는 기능이 필요하다 FFDD Feedforward neural network: 피드포워드 신경망, 데이터 흐름이 앞으로만 전달되는 신경망 RNN 순환 신경망 recurrent neural network: 순차 데이터에 잘 맞는 인공 신경망. 순환층을 1개 이상 사용한 신경망 셀: RNN에서 순환층을 셀이라고 부른다 은닉 상태: 셀의 출력 -> 은닉 상태가 다음 층으로 전달된다 + 셀이 타음 스텝 데이터를 처리할 때 재사용된다 9-2. 순환 신경망으로 IMDB 리뷰 분류하..

Data Science/AI 2023.03.14

인공지능 #8-2 | CNN - 텐서플로 Conv2D, MaxPooling2D, plot_model

8. 이미지를 위한 인공 신경망¶합성곱 convolution¶ 입력 데이터에서 유용한 특성만 드러나게 처리하는 것 합성곱의 동작 원리¶ 입력 데이터 전체에 가중치를 적용하는 게 아니라 일부에 가중치를 곱함 CNN Convolutional Neural Network에서는 뉴런을 filter/kernel라고 부름 필터 filter: 뉴련 개수를 표현할 때 커널 kernel: 입력에 곱하는 가중치를 의미할 때 합성곱은 2차원 데이터에도 적용할 수 있다. 입력 데이터의 왼쪽 위에서 오른쪽 맨 아래까지 이동하면서 출력을 만들어낸다 이때 Convolutional 계산을 통해 어든 출력을 Feature map 특성 맵이라고 한다. 8-2. 합성곱 신경망을 사용한 이미지 분류¶ 텐서플로 케라스 API로 패션 MNIST..

Data Science/AI 2023.03.13

[에러 해결] UnicodeDecodeError: 'utf-8' codec can't decode byte 0xbd in position 0: invalid start byte

import pandas as pd data = pd.read_csv("고등학교.csv") 한글이 포함된 csv 파일을 불러올 때 아래와 같은 에러가 발생하였다. Output exceeds the size limit. Open the full output data in a text editor --------------------------------------------------------------------------- UnicodeDecodeError Traceback (most recent call last) Cell In[1], line 2 1 import pandas as pd ----> 2 data = pd.read_csv("고등학교.csv") File c:\Users\.venv\lib\..

Data Science/AI 2023.03.11

인공지능 #8-1 | CNN 합성곱 알아보기(필터(커널), 피처 맵, 패딩, 스트라이드, 풀링)

8. 이미지를 위한 인공 신경망¶합성곱 convolution¶ 입력 데이터에서 유용한 특성만 드러나게 처리하는 것 합성곱의 동작 원리¶ 입력 데이터 전체에 가중치를 적용하는 게 아니라 일부에 가중치를 곱함 CNN Convolutional Neural Network에서는 뉴런을 filter/kernel라고 부름 필터 filter: 뉴련 개수를 표현할 때 커널 kernel: 입력에 곱하는 가중치를 의미할 때 합성곱은 2차원 데이터에도 적용할 수 있다. 입력 데이터의 왼쪽 위에서 오른쪽 맨 아래까지 이동하면서 출력을 만들어낸다 이때 Convolutional 계산을 통해 어든 출력을 Feature map 특성 맵이라고 한다. 8-1. 합성곱 신경망의 구성 요소¶ 케라스 합성곱 층 합성곱 신경망의 정의: 1개 이..

Data Science/AI 2023.03.10

인공지능 #8-0 | CNN 개념 이해하기

CNN 2012년 이미지 인식 대회에서 토론토대 교수인 제프리 힌튼의 AlexaNet이 압도적인 차이로 이김 AlexaNet은 컨볼루션 신경망인 CNN이다. CNN은 이미지를 인식하는 대표적인 신경망 모델이다. CNN은 사람의 시각 피질을 참고하여 만든 것이다. 뇌의 시각 피질은 서로 계층적으로 연결되어있다. 낮은 계층에서는 단순한 패턴을 인식하고, 높은 계층에서 이를 조합하여 복잡한 패턴으로 추상화한다. 네오코고니트론에 지도학습에 적용한 CNN을 공개함 당시 은행에서 수표의 숫자를 인식하는데 사용할 정도로 성능이 좋았음 MNIST 데이터셋은 얀 르쿤이 모델을 훈련시키기 위해 만든 것이다. 이때 CNN 모델이 가진 문제는 해상도가 크거나 복잡한 사진은 학습하지 못했다. 20년이 지난 뒤 CNN은 다시 화..

Data Science/AI 2023.03.10

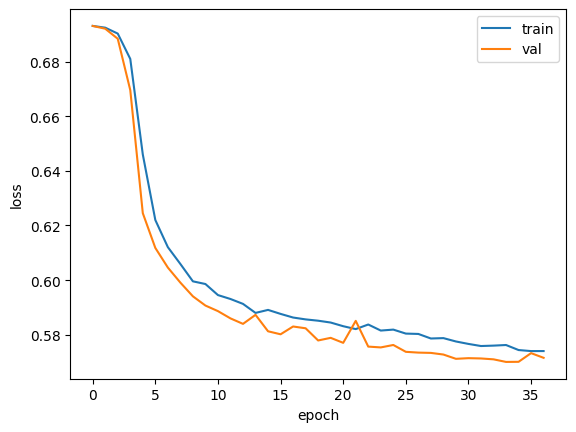
인공지능 #7-3 | 딥러닝 - 드롭아웃, 콜백, Early Stopping

7. 딥러닝¶ 데이터 준비하기: 패션 MNIST In [1]: from tensorflow import keras (train_input, train_target), (test_input, test_target) = keras.datasets.fashion_mnist.load_data() In [2]: # 데이터의 크기 # 60000개의 샘플, 각 샘플은 28*28 print(train_input.shape, train_target.shape) # 10000개의 샘플, 각 샘플은 28*28 print(test_input.shape, test_target.shape) (60000, 28, 28) (60000,) (10000, 28, 28) (10000,) In [3]: # 샘플 확인하기 import mat..

Data Science/AI 2023.03.09